最新文章
CPHI China 邀您相约【E6B59】,滨州智源生物恭候莅临
2026 年第二十四届世界制药原料中国展(CPHI & PMEC China 2026)将于6 月 16 日 - 18 日在上海新国际博览中心盛大启幕。山东滨州
滨州智源生物 邀您相聚 2026 上海 API China | 展位:2.1G0
2026年5月13日-15日,第 94 届中国国际医药原料药/中间体/包装/设备交易会(API China)将在上海国家会展中心盛大开幕。届时,智源生物将集结业
羟丙基倍他环糊精包合技术获突破 助力难溶性药物实现安全水针化
近日,一项关于羟丙基-β-环糊精(HP-β-CD)包合技术的研究取得重要进展,成功将其应用于苯甲酸雌二醇的水溶性制剂开发,为解决传统油针不良反应、提升临床用药安
智源生物亮相巴黎In-Cosmetics Global 2026 携创新原料赋能
4月14日-16日,In-Cosmetics Global 2026将在巴黎凡尔赛门展览中心启幕。山东滨州智源生物携多款核心创新美妆原料亮相(展位号2D40),
新型双交联水凝胶问世 为牙周炎局部治疗带来新突破
近日,一项针对牙周炎治疗的创新研究取得重要进展:科研团队以羟丙基壳聚糖(HPCS)和聚乙烯醇(PVA)为基材,成功研发出一种兼具可注射性、自修复能力与抗菌活性的
欢迎参观2026 PCHi的3C55展位
2026 年 3 月 18 日至 20 日,中国国际化妆品及个人与家庭护理原料展览会(PCHi 2026)将在杭州大会展中心盛大启幕。作为立足亚太、辐射全球的行
磺丁基倍他环糊精:革新药物递送的关键辅料
磺丁基倍他环糊精(SBECD)是β-环糊精经磺丁基取代修饰后的衍生物,凭借其高水溶性、低毒性和优异的包合能力,成为现代药物制剂领域的重要辅料。其分子结构中引入的
药物递送领域迎来新突破:阳离子倍他环糊精成行业焦点
传统环糊精作为分子“容器”早已被科学界熟知,其特殊的锥形疏水空腔和亲水外表面结构,能够包裹各种疏水性分子,提高这些分子在水中的溶解度。然而,普通环糊精在中性条件
生物材料领域迎来新突破:羧甲基壳聚糖应用前景广阔,引领医疗与环保创新浪潮。
壳聚糖本身来源于虾、蟹等甲壳类动物的外壳,是自然界储量仅次于纤维素的第二大天然多糖。然而,普通壳聚糖不溶于水的特性极大地限制了其应用范围。通过引入羧甲基基团进行
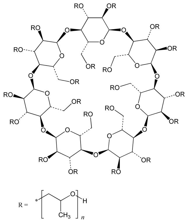
羟丙基倍他环糊精在药物递送与疾病治疗领域取得突破性进展
近日,全球功能性辅料研究迎来新热点。作为一种性能优异的水溶性环糊精衍生物,羟丙基倍他环糊精正从传统的增溶剂和稳定剂,跃升为药物递送系统与前沿疗法中的关键角色,展
智源生物亮相德国CPhI 展位号:8.0Q37,共探行业新机遇!
2025欧洲医药原料展览会(CPhI Europe)将于2025年10月28-30日在德国·法兰克福举行。届时,山东滨州智源生物携核心环糊精产品亮相2025德国
琥珀酰壳聚糖引领医药应用新浪潮
近日,一种名为琥珀酰壳聚糖的创新生物材料在医药研发领域崭露头角,凭借其卓越的生物相容性和可调控的物理化学性质,为多个医药细分领域带来了新的解决方案。琥珀酰壳聚糖
滨州智源生物携创新成果亮相2025 CPHI & PMEC深圳展
2025年9月1日至3日,山东滨州智源生物科技有限公司携子公司济南新之源生物科技有限公司,盛装亮相于深圳会展中心(福田)举办的2025 CP
热烈祝贺 智源生物 [新原料 -超支化环糊精]备案成功
CPHI& PMEC 2025 智源生物&新之源生物期待与您同行
CPHI & PMEC制药工业展(深圳)将于2025年9月1-3日在深圳会展中心(福田)盛大开幕。CPHI深圳展将充分激发医药企业的内生动力与创新活力,为全球医
















![热烈祝贺 智源生物 [新原料 -超支化环糊精]备案成功](/uploads/allimg/20250818/2-250QPU33L58.jpg)

